学术会议
【2026.04.10-04.12 北京】International Workshop on Recent Trends on Nonlinear Hyperbolic Conservation Laws
发布时间:2026-04-10






International Workshop on Recent Trends on Nonlinear Hyperbolic Conservation Laws




Date: April 10-12, 2026

Beijing, China

Venue: Siyuan Building, Lecture Hall






Organizers


Feimin Huang (AMSS)


Mingjie Li (MUC)


Yi Wang (AMSS)


Yong Wang (AMSS)


Qingtian Zhang (SZU)





The workshop is supported by

the National Natural Science Foundation of China (No. 12288201),

Institute of Applied Mathematics, Academy of Mathematics and Systems Science, CAS




April 9-10, 2026

Registration and Arrival

April 12, 2026

Departure





April 10, 2026 (Friday)

8:30am - 9:00 am

OPENING and GROUP PHOTO

Morning Session I

9:00 am - 10:30am

Speaker

Chair

9:00 am - 9:40 am

Stefano Bianchini

Feimin Huang

9:45 am - 10:25 am

Rinaldo M. Colombo

Hailiang Li

10:30 am - 10:45 am

COFFEE BREAK

Morning Session II

10:45 am - 12:15 pm

Speaker

Chair

10:45 am - 11:25 am

Fabio Ancona

Yaguang Wang

11:30 am – 12:10pm

Ronghua Pan

Yachun Li

12:15 pm - 14:00 pm

LUNCH BREAK

Afternoon Session I

14:00 pm - 15:30 pm

Speaker

Chair

14:00 pm - 14:40 pm

Ming Mei

Chunpeng Wang

14:45 pm - 15:25 pm

Debora Amadori

Mingjie Li

15:30 pm - 15:45 pm

COFFEE BREAK

Afternoon Session II

15:45 pm - 18:00 pm

Speaker

Chair

15:45 pm - 16:25 pm

Yi Wang

Wei Xiang

16:30 pm - 17:10 pm

Guerra Graziano

Hao Zheng

17:15 pm - 17:55 pm

Kun Zhao

Quoc-Hung Nguyen

18:30 pm - 20:30 pm

BANQUET




April 11th, 2026 (Saturday)

Morning Session I

8:30 am - 10:30am

Speaker

Chair

8:30 am - 9:10 am

Helge Holden

Yunguang Lu

9:15 am - 9:55 am

Geng Chen

Qingtian Zhang

10:00 am - 10:15 am

COFFEE BREAK

Morning Session II

10:15 am - 11:45 am

Speaker

Chair

10:15 am - 10:55 am

Emmanuel Grenier

Yongqian Zhang

11:00 am - 11:40 am

Giuseppe Maria Coclite

Zhao Yang

11:40 am - 14:00 pm

LUNCH BREAK

Afternoon Session I

14:00 pm - 15:30 pm

Speaker

Chair

14:00 pm - 14:40 pm

Laura Caravenna

Xiaozhou Yang

14:45 pm - 15:25 pm

Shoujun Huang

Fang Yu

15:30 pm - 15:45 pm

COFFEE BREAK

Afternoon Session II

15:45 pm - 17:10 pm

Speaker

Chair

15:45 pm - 16:25 pm

Luca Talamini

Tianyi Wang

16:30 pm - 17:10 pm

Gaowei Cao

Qian Yuan




April 12th, 2026 (Sunday)


Free discussion and leaving





Title & Abstract

Debora Amadori, University of L'Aquila

Title: A nonlocal version of the ARZ system: well-posedness and singular limit

Abstract: We investigate a system of nonlocal conservation laws arising in traffic flow modeling, focusing on a nonlocal variant of the generalized Aw-Rascle-Zhang (ARZ) system in which the velocity field is replaced by a one-sided spatial convolution of the velocity itself. For a fixed interaction kernel, we establish existence and uniqueness of weak solutions to the Cauchy problem for initial data with bounded variation, together with stability estimates with respect to the initial datum. We further provide conditions on the velocity function and on the initial data that guarantee the validity of a maximum principle for the density or the existence of an invariant region. Finally, we analyze the singular limit associated with a sequence of exponential kernels converging to a Dirac delta distribution. We derive sufficient conditions ensuring convergence to an entropy weak solution of the limiting local system, and we prove the uniqueness of this limit. Joint work with F. A. Chiarello (L'Aquila), G. Cipollone (L'Aquila), X. Gong (Amherst College, USA), A. Keimer (Rostock, Germany).


Fabio Ancona, University of Padova

Title: Hard congestion limit of one-dimensional Euler equations with singular pressure in the BV setting

Abstract: The Euler equations with a maximal density constraint (hard congestion model) can be approximated by the system of gas dynamics with a singular pressure law (soft congestion model). I will present a rigorous justification of this singular limit in the setting of BV solutions. We will consider small BV perturbations of reference solutions constituted by (possibly interacting) large shock waves, which represent free/congested interfaces (in fact, this is a free boundary problem). The analysis of the interface dynamics (even for the limit solution) is based on a front-tracking algorithm and on the introduction of appropriate rescaling of the singular pressure.

This is a work in collaboration with R. Bianchini (IAC-CNR, Rome) and C. Perrin (CNRS, Universit´e Aix Marseille).


Stefano Bianchini, SISSA

Title: On the properties of traveling wave solutions for a reaction diffusion equation with control

Abstract: Following a model proposed by A. Bressan and M.T. Chiri, we consider the cost of removing an invasive species satisfying a parabolic reaction diffusion equation with a control. The control is modeling the action of blocking or slowing the growth of the invasive species. An open conjecture is whether the Gamma-limit of this problem is a set evolution problem with control, with a cost depending on the parental reaction diffusion equation. We give explicit formulas for the cost of traveling wave, removing all the assumption made in the literature.


Gaowei Cao, Hetao Institute of Mathematics and Interdisciplinary Sciences

Title: Formula for Entropy Solutions of the 1D Pressureless Euler-Poisson System: Well-Posedness of Entropy Solutions and the Asymptotic Behavior

Abstract: We consider the Cauchy problem for the one-dimensional pressureless Euler-Poisson system, which describes dust stars with density being a finite Radon measure. For this Cauchy problem, we introduce three generalized potentials to establish a representation formula for entropy solutions, and prove the uniqueness of entropy solutions via the variational principle and the method of generalized characteristics. Furthermore, we employ this newly derived formula to analyze the asymptotic behavior of entropy solutions: For the initial data (ρ0,u0) with finite Radon measure density ρ0(0) and bounded velocity u0, we prove that the entropy solutions always decay to a single δ-shock by showing that any two δ-shocks must coincide with each other outside a finite time interval; in particular, it is interesting that, for the initial density with a nonempty compact support, the entropy solution will turn into a δ-shock wave in finite time, after which this δ-shock wave will propagate linearly despite the characteristics in general are parabolas. It is a joint work with Prof. Feimin Huang and Dr. Guirong Tang.


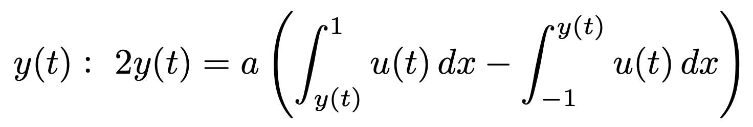
Laura Caravenna, University of Padova

Title: Front-Tracking for Hughes' Evacuation Model

Abstract:Hughes' model is a traffic model describing the behavior of a crowd of rational pedestrians seeking to evacuate an area through exits located at its boundary. For the affine cost depending on a positive parameter a, it consists of coupling a scalar conservation law


with an integral constraint for the unknown Lipschitz continuous turning curve

.

I will discuss recent results on the existence of entropy solutions with bounded variation for the boundary-Cauchy problem, with zero boundary data, via a front-tracking algorithm.


Geng Chen, University of Kansas

Title: The stability of shock waves and the physical inviscid limit

Abstract: In this talk, several recent advances on the shock wave theory will be discussed.

The solutions of compressible Euler equations often form shock waves, in finite time, notably observed behind supersonic planes. A very natural way to justify these singularities involves studying solutions from inviscid limits of Navier-Stokes solutions. The mathematical study of this problem is however very difficult because of the destabilization effect of the viscosities and the appearance of shock waves. Bianchini and Bressan proved the inviscid limit to small BV solutions using the so-called artificial viscosities in 2004. However, until recently, achieving this limit with physical viscosities remained an open question. In this presentation, our recent advance on the L2 theory of compressible fluid mechanics will be introduced. This method is employed to describe the physical inviscid limit in the context of the barotropic Euler equations, and to solve the Bianchini and Bressan's conjecture.

Then I will introduce the very recent progress on another open problem: the L2 contraction and stability of dispersive shock with infinite oscillations for the Korteweg–De Vries (KdV) Burgers equation. This equation models waves on shallow water surfaces.


Giuseppe Coclite, Polytechnic University of Bari

Title: Vanishing viscosity versus Rosenau approximation for scalar conservation laws: the fractional case.

Abstract: In this talk we consider approximations of scalar conservation laws by adding nonlocal diffusive operators. In particular, we consider solutions associated to fractional Laplacian and fractional Rosenau perturbations and show that, for any $t>0$, the mutual $L^1$ distance of their profiles is negligible as compared to their common distance to the underlying inviscid entropy solution.

We provide explicit examples showing that our rates are optimal in the supercritical and critical cases, in one space dimension and for strictly convex fluxes. For subcritical equations, our rates are not optimal but they remain explicit.


Rinaldo Colombo, University of Brescia

Title: Reversibility and Irreversibility in Conservation Laws

Abstract: Nonlocal balance laws have been introduced to model phenomena ranging, for instance, from particle suspensions to vehicular traffic, from granular materials to crowd dynamics. In several cases, the solution operator they generate is not only a semigroup but a group, i.e., the dynamics are reversible. This makes it possible to use nonlocal balance laws as a cryptographic tool, with the terms in the equation playing the role of a symmetric key. This application is grounded in a rigorous analytical framework, which will be presented together with explicit examples and which leads to new problems.

On the other hand, classical (local) conservation laws are typically non-reversible. This motivates the problems of Reachability and Inverse Design. The former concerns the characterization of those functions that can be attained as solutions at a prescribed time, while the latter concerns the identification of all initial data that evolve into a given solution at a given time. As will be shown, Hamilton–Jacobi techniques are an effective tool for tackling these problems. Surprisingly, Galois connections allow a clear and unified treatment of initial value problems, initial–boundary value problems, and problems on junctions.

(Work in collaboration with D.Amadori, M.Garavello, V.Perrollaz and A.Salvadori)


Guerra Graziano, University of Milano-Bicocca

Title: Existence of Solutions through Micro-Macro Limit in General Traffic Models

Abstract: We consider a system of partial differential equations describing the evolution in one space dimension of a scalar density governed by a velocity field. A vector quantity acts as a Lagrangian marker, i.e., a set of parameters attached to each individual in the population, characterizing its behaviour.

This system encompasses a variety of macroscopic traffic models, from the classical Lighthill-Whitham-Richards model to the Aw-Rascle and Zhang models, as well as their generalizations GARZ/GSOM, and two-phase models.

Analytically, the system presents several challenges. Its natural formulation is non-conservative, making the very definition of solution problematic when singularities arise, which is standard in applications. We show that among the infinitely many conservative forms sharing the same smooth solutions, there exists essentially only one that preserves the role of the Lagrangian marker.

We prove the existence of solutions by means of a micro-macro limit, starting from ordinary differential equations describing the dynamics of individual vehicles and passing in the limit to the macroscopic PDE system.

The physical meaning of the marker variable is lost whenever the density vanishes (vacuum) nevertheless, as we prove, the system remains well-behaved even in this case. Unlike many results in the literature that exclude vacuum, our analysis allows the density to vanish, assuming only bounded variation and values in the unit interval, possibly with infinite total mass.



Emmanuel Grenier, AMSS

Title: Landau damping in mixed hyperbolic-kinetic systems and thick sprays

Abstract: The thick spray model combines the Vlasov equation for the particles and the barotropic compressible Euler equations to describe the fluid, coupled through the gradient of the pressure of the fluid. In this model, sound waves interact with particles of nearby velocities, which results in a damping or an amplification of these sound waves, depending on the sign of the derivative of the distribution function at the sound speed. This mechanism is very similar to the classical Landau damping which occurs in the Vlasov-Poisson system. If the sound waves are amplified then the thick spray model is linearly ill-posed in Sobolev spaces, even locally in time. This Landau damping type phenomena naturally arises when we couple a hyperbolic system of conservation laws with the Vlasov equation.


Helge Holden, Norwegian University of Science and Technology

Title: What are the compact sets in Lebesgue and Bochner spaces?

Abstract: Compactness in Lebesgue spaces is fully characterized by the classical Kolomogorov–Riesz theorem. We present how this theorem and the classical Arzelà–Ascoli theorem can be derived from a very elementary lemma. Furthermore, we show that one of the conditions of the Kolomogorov–Riesz theorem is redundant. Next, we ask the same question in Bochner spaces. Here we discuss how we can derive the Aubin–Lions–Dubinskii theorem on compactness in Bochner spaces in this setting.


Shoujun Huang, Zhejiang Normal University

Title: Generic Singularities for a 2D Pressureless Gas

Abstract: We consider the Cauchy problem for the equations of pressureless gases in two space dimensions. For a generic set of smooth initial data (density and velocity), it is known that the solution loses regularity at a finite time t_0, where both the density and the velocity gradient become unbounded. We aim to provide an asymptotic description of the solution beyond the time of singularity formation. For t>t_0, we also show that a singular curve is formed, where the mass has positive density w.r.t. one dimensional Hausdorff measure. The system of equations describing the behavior of the singular curve is not hyperbolic. Working within a class of analytic data, local solutions can be constructed using a version of the Cauchy–Kovalevskaya theorem. For this purpose, by a suitable change of variables we rewrite the evolution equations as a first order system of Briot–Bouquet type, to which a general existence-uniqueness theorem can then be applied. This is a joint work with Profs. Alberto Bressan and Geng Chen.


Ming Mei, Jiangxi Normal University

Title: Stability of viscous shock waves for Burgers equation with singular viscosity and singular flux

Abstract: This talk is concerned with Burgers equation with singular viscosity and singular flux. We realize that, when the singularity for flux is less than the singularity of viscosity, there exists smooth viscous shock wave, otherwise the shock wave does not exist. The main issue is to show the stability of these shock waves. To overcome the singularities caused by viscosity and flux, we use the weighted energy method, where the selection of weights is technical and play a crucial role in the proof. This is a summary of joint works with Dr. Xiaowen Li from Peking University, Prof. Jingyu Li from Northeast Normal University and Dr. Shufang Xu from Zhejiang University of Science and Technology.


Ronghua Pan, Georgia Institute of Technology

Title: Rayleigh-Taylor instability and beyond

Abstract: It is known in physics that steady state of fluids under the influence of uniform gravity is stable if and only if the convection is absent. In the context of incompressible fluids, convection happens when heavier fluid is on top of lighter fluids, known as Rayleigh-Taylor instability. However, in real world, heat transfer plays an important role in convection of fluids, such as the weather changes, and or cooking a meal. In this context, the compressibility of the fluids becomes important. Indeed, using the more realistic model of compressible flow with heat transfer and heat diffusion, the behavior of solutions is much closer to the real world and more complicated. We will discuss these topics in this lecture, including some going research projects.


Luca Talamini, scuola superiore studi avanzati (SISSA) trieste

Title: A differential structure for general scalar conservation laws

Abstract: We introduce a general framework to study first-order perturbations of entropy solutions to scalar conservation laws with general flux functions. We first show that such perturbations are represented by measures satisfying a continuity equation with a vector field given by the characteristic speed. Next, by “lifting” the perturbations to measures in the graph space, we establish a shift differentiability result: to first order, near the shocks of the limiting solution, any perturbation essentially behaves as a shift (translation) of the shock in a direction determined by the lift.


Yi Wang, AMSS

Title: The time-asymptotic stability of generic Riemann profiles

Abstract: The talk is based on our recent developments on the time-asymptotic stability of generic Riemann profiles, which are the viscous version of generic inviscid Riemann solutions including the composite of viscous shock profile, centered rarefacton wave and even viscous contact discontinuity, to some typical viscous conservation laws, such as barotropic/full compressible Navier-Stokes equations, Boltzmann equation and non-convex scalar equation/viscoelastic system. Based on several joint works with Feimin Huang, Moon-Jin Kang, Sidi Lyu, Alexis Vasseur, Qiuyang Yu and Jian Zhang.


Kun Zhao, Harbin Engineering University

Title: Stationary Solutions in a Balance Law System from Chemotaxis

Abstract: This presentation is structured around a sequence of analytical results regarding the qualitative behavior of solutions to a hyperbolic-parabolic system of balance laws derived from a singular chemotaxis model. We will discuss the construction and stability of various stationary solutions, both constant and non-constant, on finite intervals, under both static and evolution-type boundary conditions.


Steps to Access the Internet

1. WiFi: AMSS

2. Open browser, choose option (4) Meeting ID

3. Enter the applicant’s name and Meeting ID: hyperbolic


Conference Venue:

Siyuan Building (思源楼报告厅), in Basic Sciences Park, Chinese Academy of Sciences.

North 4th Ring West Road, Haidian District, Beijing, China



Hotel:

Liaoning International Hotel (or search Beijing Liaoning Hotel),

Address: North 4th Ring West Road, Haidian District, Beijing, China




附件下载: